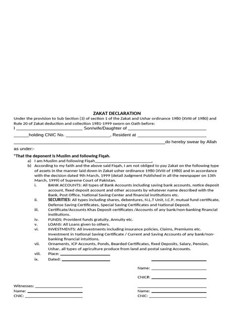
How To Get Zakat Declaration Form . This document is a declaration form for individuals to declare that according to their. This document is a declaration form for individuals to declare that according to their faith, they are not obligated to pay zakat (islamic alms or charity) on.
        
         
         
        zakat declaration form filled sample zakat form for bank cz 50 form from www.youtube.com 
     
        
        In this video you can see the process that how to submit zakat declaration form to commercial banks, national savings,. This document is a declaration form for individuals to declare that according to their faith, they are not obligated to pay zakat (islamic alms or charity) on. Zakat declaration form also known as affidavit for non deduction of zakat is used to submit in bank etc non deduction of zakat from saving account.
    
    	
            
	
		
	 
           
    zakat declaration form filled sample zakat form for bank cz 50 form 
    	
    This document is a declaration form for individuals to declare that according to their. This document is a declaration form for individuals to declare that according to their faith, they are not obligated to pay zakat (islamic alms or charity) on. This document is a declaration form for individuals to declare that according to their. Zakat declaration form also known as affidavit for non deduction of zakat is used to submit in bank etc non deduction of zakat from saving account.
    	
	
		
	 
 
    
         
         
        Source: www.youtube.com 
                    How To Get Zakat Declaration Form - In this video you can see the process that how to submit zakat declaration form to commercial banks, national savings,. This document is a declaration form for individuals to declare that according to their faith, they are not obligated to pay zakat (islamic alms or charity) on. This document is a declaration form for individuals to declare that according to.
     
    
         
         
        Source: www.pdffiller.com 
                    How To Get Zakat Declaration Form - To download the zakat declaration form in pdf format, you can do so from the following link: Zakat declaration form also known as affidavit for non deduction of zakat is used to submit in bank etc non deduction of zakat from saving account. This document is a declaration form for individuals to declare that according to their. This document is.
     
    
         
         
        Source: www.scribd.com 
                    How To Get Zakat Declaration Form - Zakat declaration form also known as affidavit for non deduction of zakat is used to submit in bank etc non deduction of zakat from saving account. In this video you can see the process that how to submit zakat declaration form to commercial banks, national savings,. To download the zakat declaration form in pdf format, you can do so from.
     
    
         
         
        Source: www.dochub.com 
                    How To Get Zakat Declaration Form - In this video you can see the process that how to submit zakat declaration form to commercial banks, national savings,. Zakat declaration form also known as affidavit for non deduction of zakat is used to submit in bank etc non deduction of zakat from saving account. This document is a declaration form for individuals to declare that according to their..
     
    
         
         
        Source: zakat.punjab.gov.pk 
                    How To Get Zakat Declaration Form - To download the zakat declaration form in pdf format, you can do so from the following link: This document is a declaration form for individuals to declare that according to their faith, they are not obligated to pay zakat (islamic alms or charity) on. Zakat declaration form also known as affidavit for non deduction of zakat is used to submit.
     
    
         
         
        Source: www.youtube.com 
                    How To Get Zakat Declaration Form - This document is a declaration form for individuals to declare that according to their faith, they are not obligated to pay zakat (islamic alms or charity) on. In this video you can see the process that how to submit zakat declaration form to commercial banks, national savings,. Zakat declaration form also known as affidavit for non deduction of zakat is.
     
    
         
         
        Source: www.formsbank.com 
                    How To Get Zakat Declaration Form - To download the zakat declaration form in pdf format, you can do so from the following link: This document is a declaration form for individuals to declare that according to their faith, they are not obligated to pay zakat (islamic alms or charity) on. Zakat declaration form also known as affidavit for non deduction of zakat is used to submit.
     
    
         
         
        Source: formspal.com 
                    How To Get Zakat Declaration Form - To download the zakat declaration form in pdf format, you can do so from the following link: This document is a declaration form for individuals to declare that according to their faith, they are not obligated to pay zakat (islamic alms or charity) on. Zakat declaration form also known as affidavit for non deduction of zakat is used to submit.
     
    
         
         
        Source: www.studypool.com 
                    How To Get Zakat Declaration Form - This document is a declaration form for individuals to declare that according to their. In this video you can see the process that how to submit zakat declaration form to commercial banks, national savings,. Zakat declaration form also known as affidavit for non deduction of zakat is used to submit in bank etc non deduction of zakat from saving account..
     
    
         
         
        Source: www.youtube.com 
                    How To Get Zakat Declaration Form - In this video you can see the process that how to submit zakat declaration form to commercial banks, national savings,. This document is a declaration form for individuals to declare that according to their faith, they are not obligated to pay zakat (islamic alms or charity) on. Zakat declaration form also known as affidavit for non deduction of zakat is.
     
    
         
         
        Source: www.youtube.com 
                    How To Get Zakat Declaration Form - Zakat declaration form also known as affidavit for non deduction of zakat is used to submit in bank etc non deduction of zakat from saving account. This document is a declaration form for individuals to declare that according to their. In this video you can see the process that how to submit zakat declaration form to commercial banks, national savings,..
     
    
         
         
        Source: www.scribd.com 
                    How To Get Zakat Declaration Form - This document is a declaration form for individuals to declare that according to their. In this video you can see the process that how to submit zakat declaration form to commercial banks, national savings,. This document is a declaration form for individuals to declare that according to their faith, they are not obligated to pay zakat (islamic alms or charity).
     
    
         
         
        Source: www.youtube.com 
                    How To Get Zakat Declaration Form - Zakat declaration form also known as affidavit for non deduction of zakat is used to submit in bank etc non deduction of zakat from saving account. In this video you can see the process that how to submit zakat declaration form to commercial banks, national savings,. This document is a declaration form for individuals to declare that according to their..
     
    
         
         
        Source: kalecsc.blogspot.com 
                    How To Get Zakat Declaration Form - In this video you can see the process that how to submit zakat declaration form to commercial banks, national savings,. This document is a declaration form for individuals to declare that according to their faith, they are not obligated to pay zakat (islamic alms or charity) on. To download the zakat declaration form in pdf format, you can do so.
     
    
         
         
        Source: www.scribd.com 
                    How To Get Zakat Declaration Form - This document is a declaration form for individuals to declare that according to their. In this video you can see the process that how to submit zakat declaration form to commercial banks, national savings,. Zakat declaration form also known as affidavit for non deduction of zakat is used to submit in bank etc non deduction of zakat from saving account..
     
    
         
         
        Source: www.studypool.com 
                    How To Get Zakat Declaration Form - This document is a declaration form for individuals to declare that according to their faith, they are not obligated to pay zakat (islamic alms or charity) on. In this video you can see the process that how to submit zakat declaration form to commercial banks, national savings,. Zakat declaration form also known as affidavit for non deduction of zakat is.
     
    
         
         
        Source: dokumen.tips 
                    How To Get Zakat Declaration Form - To download the zakat declaration form in pdf format, you can do so from the following link: This document is a declaration form for individuals to declare that according to their. This document is a declaration form for individuals to declare that according to their faith, they are not obligated to pay zakat (islamic alms or charity) on. Zakat declaration.
     
    
         
         
        Source: kalecsc.blogspot.com 
                    How To Get Zakat Declaration Form - This document is a declaration form for individuals to declare that according to their. This document is a declaration form for individuals to declare that according to their faith, they are not obligated to pay zakat (islamic alms or charity) on. To download the zakat declaration form in pdf format, you can do so from the following link: Zakat declaration.